
積立利率について
積立利率
- 「積立利率」とは積立金に付利する利率のことをいいます。
「積立金」とは将来の保険金をお支払いするために、保険料の中から積み立てた部分をいい、積立金を基に保険金額や解約返戻金を算出します。 - 積立利率は、月2回(1日・16日)設定されます。
そのため、契約日や積立利率計算基準日により適用される積立利率は異なります。
積立利率計算基準日
- 積立利率は、契約日から10年ごとに到来する年単位の契約応当日に更改します。この日を「積立利率計算基準日」といいます。
積立利率適用期間
- 契約日および積立利率計算基準日における積立利率は、それぞれの直後に到来する積立利率計算基準日の前日まで適用します。この積立利率を適用する期間を「積立利率適用期間」といいます。
契約日における積立利率
- 契約日における積立利率は、「保険証券」に記載されております。
積立利率計算基準日における積立利率
- 積立利率計算基準日における積立利率は、次の利率とします。

ただし、この利率が年0.10%を下回る場合には、積立利率は年0.10%とします。
- ご契約者さまには、積立利率を記載した「積立利率変動型一時払終身保険の積立利率のお知らせ」を10年ごとに到来する年単位の契約応当日の属する月の翌月20日頃に発送します。
- 日本国国債の流通利回りについては、次をご参照ください。
【ドリームワン】 積立利率の設定に用いた日本国国債の流通利回り(PDF:256KB)
解約返戻金について
解約返戻金は解約時期や市場金利に応じて変動します。場合により一時払保険料を下回ることがあります。
解約返戻金の計算について
解約返戻金は、解約日(所定の書類(不備のない状態のもの)の当社受付日)における積立金額をもとに、次の算式により計算します。
解約返戻金額 = 解約日における積立金額 × 金利調整率
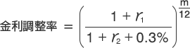
金利調整率
金利調整率は以下の計算式によって計算されます。

- 「r1」は解約日時点でこの保険契約に適用されている積立利率の設定に用いた指標金利とします。
- 「r2」は解約日における解約日からその直後に到来する積立利率計算基準日の前日までの年数(1年未満の端数については切り捨てます。)に応じて当社が定める金利とします。
- 「m」は解約日からその直後に到来する積立利率計算基準日の前日までの月数(1か月未満の端数については切り捨てます。)とします。
- 「r2(解約日の当社が定める金利)+0.3%」が「r1(積立利率の設定に用いた指標金利)」より高い場合、解約返戻金額は解約日における積立金額より減少します。
- 「r2(解約日の当社が定める金利)+0.3%」が「r1(積立利率の設定に用いた指標金利)」より低い場合、解約返戻金額は解約日における積立金額より増加します。
<ご注意>
解約日からその直後に到来する積立利率計算基準日の前日までの期間が1か月未満の場合は、「m=0」となり、「金利調整率=1(=100%)」となります。
従いまして、この間の解約返戻金額は市場金利の状況にかかわらず、「解約返戻金額=解約日における積立金額」となります。
積立利率の設定に用いた指標金利(r1)
- 解約日が契約日から10年以内の場合 : 保険証券でご確認ください。
|
: | 「積立利率変動型一時払終身保険の積立利率のお知らせ」 または次のファイルでご確認ください。 |
【ドリームワン】 積立利率の設定に用いた日本国国債の流通利回り(PDF:256KB)
解約日からその直後に到来する積立利率計算基準日の前日までの年数に応じて当社が定める金利(r2)
2025年11月16日から2025年11月30日までに解約した場合に適用される残存年数に応じて当社が定める金利(r2)は下表のとおりです。
| 残存年数 | 9年 | 8年 | 7年 | 6年 | 5年 | 4年 | 3年 | 2年 | 1年 | 0年 |
|---|---|---|---|---|---|---|---|---|---|---|
| 金利 | - | - | - | - | 1.24% | 1.14% | 1.00% | 0.90% | 0.71% | 0.52% |
- ※
- 残存年数とは解約日からその直後に到来する積立利率計算基準日の前日までの年数(1年未満の端数は切捨て)です。







